国泰君安:衰退vs宽松 美国主线须知的十件事
核心观点
美国市场下半年展望:减速与宽松的角力将是美国市场下半年的主线,如何分析下半年美国经济与风险资产表现?我们将其提炼为十项相互关联的分析要点,据此进行深度的解读剖析。
我们认为,经济减速与宽松的角力将是主导美国市场的主线。经济下行依然面临重重疑云,而联储的态度好似纠结暧昧,对于美国不论国内还是海外均面临众多冲击变量,这些因素都令市场预期纷乱,美股/美债/美元/黄金的走势好像充满矛盾。如何厘清上述疑题?我们试从当前市场的变化出发,结合影响经济、政策、资产表现、未来演变路径等方面的十个要点,围绕衰退vs宽松这条主线进行研究讨论。
重要的不是衰退,而是衰退的程度与应对的方式。收益率曲线出现倒挂当然会令人担心衰退,然而市场也会用同样的理由来觊觎宽松。本质上,衰退与宽松这对矛盾的组合因为程度各异、节奏各异,从而对经济与市场产生了截然不同的结果。我们发现,虽然衰退带来的盈利下滑是股市面临的巨大挑战,然而预防性对冲能够降低衰退的概率、令衰退程度有所缓解,并改善不确定性与股债比价关系从而支撑估值;对于国债而言,降息周期均获正回报,其幅度与政策利率下降幅度正相关。
那么我们究竟正面临着什么样的情景?
一方面,我们需要知道衰退的压力究竟有多大?我们判断:本轮进入衰退概率有限、且危害有限。占美国经济比重近70%的消费,因家庭部门与劳动力市场处于良好的状态之中,构成了支撑美国经济中期延续扩张的基本盘;同时,我们尚未找到充分的理由,去认为当前正在发生的短周期回落会演变为严重的经济衰退;此外,我们对企业、地产、金融等容易引发麻烦的部门进行了细致地考察,其中地产与的状况十分健康;当然,研究要求我们密切关注潜在的大麻烦——企业债务。
另一方面,我们需要知道联储的宽松意图究竟如何?我们认为:至少最近一年联储将着力确保经济扩张延续,政策基调为预防式宽松对冲。这不论对于减缓短期经济下行压力、应对贸易等外生变量冲击,还是对于资本市场而言,都是较为有利的政策选择。然而需要注意,这种有利条件并非来自于符合、甚至超越市场预期的降息次数,而是来自于对于不确定性的消除——承诺对冲、消除衰退、确保经济扩张的政策取向。
基于分析判断,如何推断未来市场演绎?短暂普涨,而后分化。其关键在于如若中期经济基本盘良好,有效对冲并非来自于降息次数,而是对不确定性的消除:已隐含宽松预期的利率类资产,或因联储降息程度、节奏不达预期而经历调整,但是受益于经济扩张、不确定性改善的权益类资产或将继续受益——我们预计未来利率短久期好于长久期,信用好于利率、股票好于债券,如若贸易摩擦继续缓解则科技股相对更占优;此外,较之市场预期,美元下跌空间有限,上涨空间有限。
令主线改换的变盘来自哪里?通胀。减速与宽松角力这条主导美国市场的主线,未来或将因通胀率的变化而发生改换;我们认为这切实有可能发生,并且基于对美国劳动力市场的研究,其发生时间很可能偏早,远远超越市场当前对远期通胀的悲观预期。我们设想,如果联储成功地完成了本轮托底,可能等在后面的还有同样难熬的滞胀。
目录
前言:我们对衰退vs宽松主线的十个思考
1。 当前的“共识”:流动性音乐不停,市场舞蹈不止
2。 宽松“共识”的经济含义:提前预防还是顺应衰退,意义截然不同
3。 中期要看基本盘:消费-家庭部门-劳动力市场仍相当稳健
4。 减速无可争议:众多领先指标均处于回落态势之中
5。 减速还是衰退:重点之一要看企业部门
6。 减速还是衰退:重点之二要看经济的“软肋”
7。 分裂的联储进退两难?
8。 基准演进路径下市场的反应
9。 基准路径之外,再议关键点——通胀
10。 总结:减速vs宽松这一主线之下,经济、政策、市场未来的发展脉络
前言:我们对美国衰退vs宽松主线的十个思考
①什么才是当前市场最重要的“共识”?领先的宽松对冲。减速与宽松对冲的角力正在主导美国市场。对美国经济减速甚至衰退的预期依然;但半年以来,市场逐渐确信提前、足量的宽松对冲将会发生:交易中已隐含了今年3次、明年1次的降息预期,且调查认为还有较大的概率更进一步。
②宽松共识的经济含义:提前预防还是顺应衰退,意义截然不同。减速与宽松,因程度和节奏相异,产生的结果也不相同。考察历史,衰退带来的盈利下滑是股市面临的最大挑战;而预防性对冲能够降低衰退的概率、令衰退程度有所缓解,并改善不确定性与股债比价关系从而支撑估值;对于国债而言,降息周期均获正回报,其幅度与政策利率下降幅度正相关。
当前美国又是减速与宽松的角力,后续发展路径如何:一方面,是否衰退固然重要,但更重要的是其程度与应对如何?我们认为不宜过分悲观:
③中期要看基本盘:消费-家庭部门-劳动力市场仍相当稳健。良好的就业市场、稳健向上的薪资增长、较高的消费信心、健康的债务负担,将推动占美国经济70%比重的消费基本盘能够有效地支撑经济中期扩张继续。
④短期减速无可争议:众多领先指标均处于回落态势之中。然而,除了确认当前短周期状态外,其本身不能预示程度和是否将遭遇衰退。
⑤减速还是衰退:重点之一要看企业部门。当前企业活动的回落更多体现短周期特征;由于美国消费领先盈利、并领先CAPEX,稳健的基本盘对短期回落形成有力支撑;而企业负债确实是潜在的风险点,应予重点关注。
⑥减速还是衰退:重点之二要看经济的“软肋”。对地产库存、空置率等众多角度进行仔细考察后我们认为当前地产并非软肋;类似地,金融部门仍平稳,部门良好;风险层面,建议关注leveraged loan市场。
另一方面,如何理解联储?市场将如何在衰退vs宽松的环境下演绎?
⑦纠结的联储进退两难?经研究,我们认为至少近一年联储将着力确保经济扩张延续,政策基调为预防式宽松对冲。虽然实际上未必满足市场对降息次数的强烈期待,但将切实消除不确定性,尤其对权益市场形成支撑。
⑧基准演进路径:经济减速可控、即便遭遇衰退程度也未必严重、联储发出了较为可信的信号以“预防式”宽松支撑经济扩张、同时短期内通胀难以抬升、而劳动力市场仍将保持强劲;较之几个月前,一个更为平稳的经济状态、一个更为清晰与可信的政策意图正被探明,系统性风险有所下降。
⑨基准路径之外:关键点是通胀。减速与宽松角力的主线,未来将因通胀率的变化而发生改换;我们认为这切实有可能发生,并且基于对美国劳动力市场的研究,其发生时间很可能偏早,远远超越市场当前对远期通胀的悲观预期;一旦联储完成了当前的托底,未来滞胀的折磨可能同样难熬。
⑩对于风险资产的评估:综合前述的分析,我们推断当前利率短久期好于长久期,信用好于利率、利率之中短久期好于长久期、股票好于债券,如若贸易摩擦有所缓解则科技股相对更占优;此外,较之市场预期,美元下跌空间有限,上涨空间有限。
1
当前的“共识”:流动性音乐不停,市场舞蹈不止
什么才是当前市场最重要的“共识”?领先的宽松对冲。自去年以来,我们十分关心美国的经济状态即将发生切换:短暂的滞胀之后将迎来衰退与通缩;相应地,以美股为代表的权益资产将难以避免地面临调整[1]。。。
…然而,市场的演进远比我们的预期更为波折:2018年末在全球衰退+联储偏鹰的预期之下,全球风险资产即开启了猛烈的调整;其后仅仅一个季度内,预期即发生反转,促成的关键在于货币政策路径调整——随着联储在18年末传递维持金融市场稳定的信号、19年1月FOMC暗示年内停止缩表、到19年3月FOMC暂停加息并关注低通胀,同时欧央行转鸽、中国信用扩张再起——带动全球风险资产普涨…
…其后,5-6月中美贸易摩擦加剧又一次地带来系统性冲击,为全球长期增长继续蒙上了阴影,但是衰退与宽松的角力才是矛盾的关键所在:处于争端之中的中美双方,均有较强的动机通过偏宽松的政策提前对冲内部压力,中美贸易链上的其他相关国家甚至更会抢先一步…
…预防性的宽松政策远远地领先经济基本面,这一特征表现的尤为明显;然而市场预期更是远远地跑在了政策的前面。最近FOCM的6月鸽派表态更是令市场预期走的更远,推动美债收益率继续下行、美元下跌、甚至美股创出了新高…
…而当最近联储主席鲍威尔在6月26日对外经济委员会的讲话中强调可能美联储不会急于行动,全球市场又应声下跌——可见,当前对于货币政策的预期是影响风险资产定价的极为重要的变量。
[1]详见2018年11月国君策略海外深度专题报告《不可忽视的冲击:2019 美国经济与美股》;其中我们判断2019年美股将经受较大的波动,但全年来看尚有韧性、支持全年获得微弱正回报。
近半年时间,美国经济减速甚至衰退的预期依然:见下图2,作为最具知名度的衰退预测工具,美国国债期限利差在近半年继续收窄,当前10Y-3M出现了倒挂(-0.26%),10Y-1Y近乎为0,10Y-2Y虽在0轴上但位于低位。期限利差倒挂或低位并非衰退的充分条件,但自1960年以来,在每一次衰退发生前的一年时间里,却总是经历了期限利差倒挂。
而近半年时间,市场对货币政策的预期却经历了180度转向。当前宽松预期走到了哪一步?我们通过下述指标予以衡量。其一,见下图3,从联邦基金期货隐含的FFR来看,当前市场交易之中隐含了2019年3次降息预期,2020年1次;其二,见下表1,由CME FedWatch给出的预期FFR概率分布来看,甚至2019年末还有28.6%的概率超过3次降息,至2020年4月超过3次降息的概率进一步上升到52.5%、超过4次降息的概率仍有21.9%。
2
宽松“共识”的经济含义:提前预防还是顺应衰退,意义截然不同
是否衰退固然重要,但更重要地是衰退的程度,以及如何应对。美国自有数据记录以来共经历了47次衰退[2]。其中自二战之后、认为具有现代意义的衰退共13次,平均每5.7年出现一次。经济学家视衰退为经济周期活动中不可避免的成分,真正影响巨大的衰退并不常见[3],政府与市场如何应对衰退更为十分关键。
对于资本市场,不同的经济情景与政策应对组合产生的结果将截然不同——其中政策宽松是否做到及时应对具有重要意义。见下表2、下图4,以是否在降息过程之中经历经济衰退(NBER Recession)作为标准划分不同的降息情景。1985年以来,美国有三轮降息周期中遭受了经济衰退,FFR平均降低超过500Bps;然而,也有两轮短暂的“预防式”降息,均为3次降息共计75Bps。
在三轮遭受经济衰退的降息周期之中,也可以发现其特点各异:1989年6月-1992年9月,“提前降息”,远早于衰退发生,且在91年短暂的衰退后经济“V”型反弹;2001年衰退由美股泡沫破裂导致,具有很强的突然性,而后又受到了911事件的外生冲击;2007年衰退呈现为金融危机形态,降息已无法扭转经济崩溃。
[2]NBER对衰退的定义:“a significant decline in economic activity spread across the economy,lasting more than two quarters which is 6 months, normally visible in realgross domestic product (GDP), real income, employment, industrial production,and wholesale-retail sales。”
[3]1973-1975石油危机下的衰退是二战后堪称影响重大的一次,其于波甚至延续到了1980-1982年的两次衰退之中;更为严重的一次则是次贷危机引发的07-09年大衰退。
历史上,观测到某些举措造成了什么相对容易,而观测这些举措抹除了哪些潜在的可能则十分困难。我们无法从根本上知晓95年6月-96年1月,以及98年8月-98年11月的宽松究竟是“多此一举”,还是避免了衰退;也无法知晓如果没有89年6月-92年9月这段长时间的、相对提前的宽松,衰退是否会更加恶劣。
但从事后结果来看,提前对冲(89-92)与预防性宽松(95-96、98)对于美股的提振作用十分明显;美国国债(10y)在宽松过程之中受益,幅度与降息幅度的大小正相关。
衰退带来的盈利冲击始终是美股面临的最大挑战,而提前、充分的宽松对冲对估值形成了支撑。逻辑上,提前、充分的宽松对冲很可能降低了衰退发生的概率,或令真实发生的衰退程度有所缓和。因而,一方面减弱了EPS下行的强度,另一方面改善了不确定性与股债比价关系从而支撑了估值。见下图6。
在01-03降息周期,关键特征为估值泡沫+衰退。泡沫下美股的估值处于较高水平区间,也令货币政策受到了极大的限制——一方面估值高位约束宽松,另一方面泡沫破裂本身激发的衰退更加猝不及防、难以实现有效的对冲。同期美股(标普500计)累计下跌26.3%,业绩估值双杀。
在07-08降息周期,关键特征为危机+触碰ZLB。数十年来最严重的衰退,叠加常规化货币政策因触碰Zero-lower-bound而捉襟见肘,令悲观走向了极致,美股遭遇严重的业绩估值双杀。07年9月至08年12月,标普500指数下跌40%,其中EPS累计下跌10%,可见此阶段以估值下杀为主;随着其后进入量化宽松阶段(且效果逐渐显现),虽然美股盈利至2009年12月才见底,但宽松之下美股估值已经企稳回升,支撑指数进入反弹阶段。
89-92周期,关键特征为提前对冲。由于更早地采取宽松的对冲举措(降息周期开启自89年6月,NBER衰退开始自90年7月),有效地减缓了经济衰退程度的同时(期间美股盈利累计仅-2%增长),美股估值不降反升,标普500指数甚至获得了+27.6%的正回报。
预防式降息的95年6月至96年12月,以及98年短暂的8到11月份。共同的特征:经济状态良好,但存在冲击与阶段性较高的不确定性,盈利周期处于高位有回落的压力;预防式降息从结果上来缓和了盈利回落状态下的不确定时期,支撑了市场的估值、承接下一个盈利向上的增长期。
3
中期要看基本盘:消费-家庭部门-劳动力市场仍相当稳健
对于美国经济而言,任何实质性的变动(扩张或衰退)都无法绕开占GDP比重近乎70%的居民消费。因而那些影响消费的基础变量——家庭部门的信心、行为,他们参与劳动力市场的情况与所获得的薪资收入,以及他们的资产负债表状况至关重要。
近期市场多有议论5月非农就业数据不及预期,但是将时间序列数据拉长即可发现,单以5月非农论衰退并不恰当。见下图8,5月份新增非农就业7.5万人,低于市场预期;但就非农数据而言,其本身具有较强的波动,即便是高度景气时期依然出现过单月的大幅下滑(如2017年9月);采用3个月移动均值或进行季度调整淡化单月冲击之后,结论依然是——虽有所放缓,但远不能就此判断衰退。
三项影响消费的基本因素:当前就业状况十分良好,消费者信心仍处于高位,薪资增长虽低于以往周期但正在持续提升。见下图9,经我们测算Job Balance指标领先美国失业率约2个月,当前该指标仍处于高位、表征就业高景气;此外,在历次经济衰退时,Job Balance指标通常偏低、往往较前期高点已经出现了大幅下滑——这显然与当前情景不符。Conference Board消费者信心指标(采用密歇根大学的指标结论类似)的当前特征与Job Balance相似,处于良好状态之中,略有回落但与衰退无缘。薪资增长虽低于历史(失业率)可比时期,但仍在稳步提升;参见系列上一篇研究报告《宽松的障碍:今非昔比的美国劳动力市场》,我们认为劳动力供给扩张冲击拉低了近年来的薪资增速,随着劳动力市场重回常态,薪资中枢存在很大程度的回升可能——这将对于消费基本盘构成重要的支撑。
此外,需要考察居民部门的债务状况。毕竟如果债台高筑,即便就业与薪资情况良好,家庭部门的消费决策容易快速地转为偿债决策(一旦信心稍有减弱的时候尤其如此),从而导致消费的下降和全社会信用的收缩。
我们认为当前美国居民部门的债务负担并不突出。实际情况来看,上述债务收缩带来的麻烦可能性很低。见下图10(左图),自金融危机后数年的持续居民部门债务占GDP比重当前为74.6%,占可支配收入的比重为98.9%,均已回落至2001-2002年的水平;见下图10(右图),占比最大的住房抵押贷款项,其Service Ratio甚至处于近30年的最低状态,同时按揭贷款利率同样处于偏低的中枢位置。
4
减速无可争议:众多领先指标均处于回落态势之中
私人部门投资、政府支出、还有对外贸易,虽然在美国经济之中的占比远小于居民消费,但具有更大的波动与更强的周期特征,使其成为短周期波动的关键变量。
其中除了政府支出具有一定的逆周期特征外,私人部门投资、存货变动、以及对外贸易状况,均体现为(或影响着)企业部门具有顺周期特征的商业活动。因而,众多观察经济短周期的领先指标均通过观察企业部门(尤其是制造业企业)来判断经济最新的走势。
近来引人忧虑的,恰是一众周期性指标集体呈现经济短周期减速的态势。例如,见下图12关注度较高的、表征短周期特征的领先指标—ISM制造业PMI指数,由2018年9月的峰值60.8持续回落,至2019年5月的52.1;ISM非制造业PMI综合指数表现相对较好,但同样处于回落之中。类似地,见下图13,一众周期敏感的领先性指标均处于回落态势之中。
然而必须承认,上述指标虽然很好地捕捉了经济的短期变化,但其本身却无法回答未来等待我们的究竟是减速还是衰退、程度究竟如何。
5
减速还是衰退:
重点之一要看企业部门
企业活动之中的固定资产投资与存货投资是放大经济波动的关键。在当前经济存在减速压力的时候,投资活动减弱与存货被动积压势必会引发高度关注(见下图14、图15)。
但如果上文之中的“基本盘”稳健,则企业部门遭受的短期回落可控。见下图16,美国经济链条的传导规律为:居民消费支出[4]领先于企业盈利预期,又领先于企业资本开支。依据我们上文中的分析,在消费者信心延续高位、就业状况良好、债务负担不搞、薪金收入仍在稳步提升的状态下,居民消费支出大概率难以出现快速下跌。相应地,将对周期性回落的企业盈利和资本开支形成一定的支撑。
[4]经我们考察,美国居民收入增长与居民消费支出增长近乎于同步。
刨除周期因素,企业部门是否存在某些严重的问题,从而引发自我加强式的恶性循环,是需要额外谨慎考察的方向——对此,历史所给予的经验让我们关注企业债务与成本冲击问题。
企业部门债务:一个严重的潜在风险点。债务问题爆发向来是促成衰退甚至严重危机的根源。相比之居民部门健康的债务状况(见上文3。节),美国非金融企业债务占GDP的比重已经悄然超过了曾经09Q1创下的高点(见下图17)。而之所以加上“潜在”二字,是因为当前企业面临的实际利率处于历史低位(这也是持续推升企业债务的关键因素),而推动实际利率扭转并大幅回升的情景尚未出现(见下图18);同时,信用利差仍处于低位,企业面临的金融条件尚且良好(见下图19、图20)。
在上市公司层面,同样,我们认为非金融企业的偿债能力已经成为了风险点并值得密切关注。下图21之中,左图为金融部门的净负债占总资产比重与利息覆盖倍数,右图为非金融部门数据。
果然,经受过压力测试的部门看起来相对更为健康——07年危机之后,金融上市企业也如前文之中的居民部门一样,债务问题在持续地改善,当前净负债占总资产的比重处于近20年中的较低水平,利息覆盖倍数自2015年以来虽有所下降,但考虑到其资产端同样随着利率水平的提升而获得更高的利息收益,当前ICC仍较为合理。而对于非金融上市企业,当前净债务占总资产比重已经出现了较大幅度的抬升,虽然当前仍处于盈利能力较为良好(见下图22)、利率偏低的环境之下(ICC可控),但无论是遭遇超预期的衰退、还是未来金融环境收紧,均有可能对企业部门形成冲击。
成本冲击:当前压力并不大。基准情况下,商品价格持续处于较低的位置,很难构成对美国企业的重大成本冲击;不确定性来自于外部冲击,如伊朗问题对于油价具有一定影响。虽然更值得关心的是劳动力市场紧张可能在未来导致薪资加速上涨,这对于利润在居民与企业部门之间的分配造成影响;但是,一个充分就业的劳动力市场所带来的薪资上涨,对于美国这样的消费经济实质效果更侧重于需求扩张,仅在通胀预期过快提升、通胀失控条件下才构成重大冲击。
结论:企业部门的短周期回落有支撑。对于当前美国企业部门活动回落,我们倾向于理解为正常的经济短周期规律;而这种周期性回落因经济的中期基本盘良好而总体可控;尤须注意若未来实际利率抬升、金融条件收紧,当前偏高的企业债务问题可能造成麻烦。
6
减速还是衰退:
重点之二要看经济的“软肋”
历史上,周期性回落演化为严重的经济衰退,往往触及经济的“软肋”,从而重挫经济。虽然每次危机总伴随着新的触发因素,但在经验上,脆弱的地产、金融业及资本市场往往与之相伴,对此我们特别予以考察。
地产:尚不够成重要风险。其一,房价与宏观经济无总体偏离,估价指标尚属合理范围。见下图23,采用不同的价格衡量指标,虽然当前地产价格超越或相当于06年高点;但自2000年计算,房价的CAGR增速在3.0%至4.3%范围内(Case-Shiller计最高、Census Bureau的新房价格计最低),而同期的Core CPI复合增速为2.0%、实际GDP复合增速为2.1%——房价与宏观经济增长特征匹配度较好。见下图24,房价收入比、房价租金比当前略高于长期趋势,当考虑到极低的利率环境对估值提升与预期收益率的压低之后,我们认为仍在合理范围内。
其二,库存仍在下降趋势之中,各类空置率指标状况良好。见下图25,用于销售、租赁,以及居民限制的住房套数仍在下降趋势之中。在下图26、图27可见,我们重点关注的住房所有者空置率及租房空置率指标均处于十分健康的状态。
其三,与地产相关的债务状况十分健康。在前文3。节之中,我们已经对居民部门按揭贷款情况作了分析,其占比最大的住房抵押贷款项,其ServiceRatio甚至处于近30年的最低状态,同时按揭贷款利率同样处于偏低的中枢位置。另一方面,见下图28,从住房贷款违约率的角度来看,当前同样处于历史偏低的位置。
金融机构与资本市场:压力指数显示,当前总体平稳。Kansas与St Louis联储提供的金融压力指数[5]能够较好地刻画当前领域面临的压力状况。见下图29最近的压力激增来自于去年9月至12月,当时面临股票市场的下跌、波动率激增、联储政策仍显得偏鹰、以及非美经济展望悲观与金融。其后逐步改善,当前重新回复至较为良好的状态。
[5]以St。 Louis Fed Financial StressIndex为例,该指数由18个金融变量编制而成,周度频次,其中包括Interest Rates(7项)、Yield Spreads(6项),Other(5项,包括如VIX与债券波动率)等,较好地刻画了当前金融市场的压力状况。
从资本充足率与盈利能力来看,商业状态正常。见下图30,从经历大衰退到巴塞尔协议III推出,美国商业银行各级资本充足率获得持续提升;从当前可得的2018Q4数据来看,美国商业银行各级资本充足率处于历史较高水平,对于风险有一定的吸纳能力;同时,用资本回报率ROE衡量的商业银行盈利能力稳健。
潜藏的问题:同样是来自企业债务层面的隐患。在前文5。节中,我们建议未来应密切关注企业债务问题是否存在恶化的迹象。可以很自然地思考,金融机构与金融市场一方面是企业债务重要的持用人,又是债务发行、交易的关键环节——如果企业债务的隐患爆发,是否金融机构同样将深受重创?同时,历次金融危机之中的共同特点在于风险往往潜伏在暗处、隐藏在复杂的交易设计与合约的细枝末节之中,直至爆发才真正得以暴露…
…这意味着在未来的研究之中,与之相关的金融脆弱性值得更为深入的评估。对于当前,我们认为海外研究之中对于Leveraged Loan的讨论值得关注。据S&P‘s Global Market Intelligence’s LCD,截止2019年5月,美国Leveraged Loan Market存量规模达到了1.2万亿美元,较之2007年提升了115%;如果这些贷款同样是在对贷款人和投资者保护较少的条件下发放的,很可能意味着较高的风险。见下图31,2018年末的持有人结构之中,占比最大的CLOs(Collateralized Loan Obligations)究竟由谁持有存在一定的“黑箱”;同时与曾引起麻烦的CDOs(Collateralized Debt Obligations)在结构化层面也具有一定的类似性。
7
分裂的联储进退两难?
从3月到6月,变化了什么?在前文1。与2。节,我们分析了当前市场的宽松预期远领先与政策变量所揭示的信号;那么“滞后”的联储声明与行动又揭示了哪些信息?市场对此在作何反应?
首先,须要看联储在说什么?FOMC声明简洁但直接地体现了联储的关注点所发生的变化。见下表3,在对3月份与6月份声明核心文字部分进行了对比后,用灰色标志了我们的关注要点。大致按照脉络可以清晰地发现:1)承认当前经济减速,尤其企业固定资产投资;2)重申与强调劳动力市场的强韧;3)对通胀下行风险担忧加强;4)很有意思地,提示却隐去了全球经济与金融市场的不确定性存在;5)姿态从“耐心”转为积极关注变化,暗示随时可能介入以维持经济扩张。
第二,须再看联储怎么做?包括是否调整FFR、如何调整点阵图预测、以及如何给出对未来重要经济指标的预测。议息会议之后,曾有来自不同渠道的一些评论得出结论声称“美联储七月降息2次”、或者“美联储暗示今年降息2次”等,对此我们认为值得商榷,其中尤其不应将衍生品价格中所隐含的FFR预期直接判定为联储的方法意图。
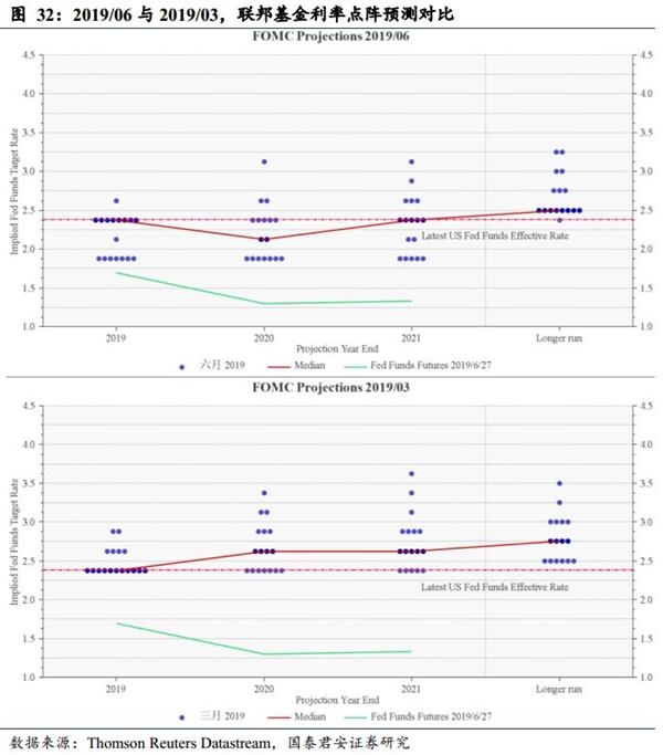
我们需要暂时抛开市场的想法、更客观一些地观察联储传递的行动信号。见下图32,19/06与19/03点阵图传递的事实包括:1)6月本身并未调整FFR,更早期的市场预测途径所给出的6月降息大于0的概率就此证伪划上了句号;2)通常点阵分布的中位数(Median值)具有重要的指示意义,而事实上它在2019年并未发生变化,在2020年仅下降了25Bps(对应一次降息);3)十分有趣地,2021年和Longer-run的预测仍较2020年有所抬升——据此很难相信当前联储认为经济陷入衰退的概率很大;4)实际上,支撑6月较之3月官方态度边际宽松论断的事实证据为——联储内部观点分歧度加大,部分认为应维持3月判断的同时、部分人观点转向宽松。
再结合6月份联储经济展望修正(见下表4):至此我们可以基本断定,联储的政策意图是旨在促进经济持续扩张的“预防性”宽松。因为,1)在FFR政策中位数目标下调的情况下,联储对于GDP的展望居然是上修的;2)预计失业率将继续改善,这是对劳动力市场的强韧进一步地给予确认,也与我们在前文3。节中的分析相似、中期消费-居民部门-劳动力市场基本盘依然稳健向好;3)除了对声明表态之中的外部不确定性冲击予以对冲之外,分析可见,联储实质上最为担忧的是通胀不达预期——我们预计这将成为实质上左右联储政策路径最为关键的中期变量。
综上,当前的联储真的纠结摇摆、进退两难么?答案是否定的。前述分析可知,单从FFR的政策信号来看,的确可能有所摇摆反复,好似时而“降”、时而又“不降”——但实际上,已经可以判定“预防式”宽松的政策安全垫已经确立,联储对经济展望积极,而视通胀为左右政策路径的核心中期变量。
8
基准演进路径下市场的反应
综合上述的分析,在基准判断下——美国不衰退、联储以“预防式”宽松支撑经济扩张、短期通胀难以抬升、劳动力市场保持强劲——我们对市场演进做出四点判断:
第一,“预防式”宽松将令系统性风险显著降低。这既包括市场早先担忧的“由鹰派联储终结经济扩张”这一情景发生的可能性近乎消除,又包括联储对于各类不确定性予以了明确的对冲信号,此外还包括对于这样的政策基调何时才发生转变有了更为清晰的理解——即通胀快速抬升、经济更倾向于过热或滞胀状态之时——而这种状态至少在可见的短期内将很难出现。对于市场而言,一个更为平稳的经济状态、一个更为清晰与可信的政策意图,都会令其面临的不确定性有所缓解。
第二,这种条件下,风险资产的反应将有所区别。首先是FOMC其后几个交易日我们看到的,风险资产普涨——可以理解这是对系统性风险下降的确认。而后,由于当前众多利率类产品已经隐含了极为强烈的降息预期,而实际上FFR变化节奏很可能存在一定的变数,我们推断受益经济增长类的资产表现将好于利率敏感型的资产,短久期好于长久期,信用好于利率、利率之中短久期好于长久期、股票好于债券,如若贸易摩擦有所缓解则科技股相对占优。
第三,在基准条件下,我们对股票资产较优的判断作更进一步的说明。这是因为:
1) 较之于债券、股票定价对于经济增长的敏感度更高,而基准情景之中,我们认为不论是从概率上还是强度上,衰退带来的风险均不算高——因而,从继续收获盈利增长的角度股票预期回报优于当前的债券。2) 理解联储的关键在于其“承诺”以适度对冲的方式确保经济处在中期扩张的轨道当中,而并未承诺降息的次数——按照我们的研究,联储未必需要当前市场预期的“3+1”次(甚至更多)降息,即可确保其目标达成——这意味着,已经price-in了较多降息次数的利率类产品反而面临不及预期的风险;而股票则更主要受益于不确定性下降带来的改善。
见下图35,我们参考Thomson Reuters IBES对SP500指数的盈利预测(未来12个月增长4.5%),给予一个近10年来最低股息回报率(1.75%),假设净回购贡献盈利增长0%(实际上,更低的利率环境有利于上市公司回购股票),假设无估值变化(实际上,前文所述的宽松对冲环境有利于支持股票估值)。那么经历未来一个偏黯淡的12个月,预计获得回报6.25%。而两年其国债,即便按照3次降息75Bps(很可能难以实现)计算,按两年久期(实际不到)计算持有债券回报,约为4.7%(0.75%*2+3.2%)——可见,在基准情境下,对于可能出现的任何降息不及预期(因经济强于预期)都会进一步地恶化债券回报而改善股票的预期回报。
第三,美元是否会十分弱?是否会十分强?对于前一问题,我们的结论倾向于是否定的,核心理由在于对联储政策托底条件下的美国经济预期并不悲观、对美国爆发系统性风险的担忧也有所下降,而市场期待的FFR下行和可能是有限度的——例如成功实现“预防式”宽松的先例,95-96年降75Bps、98年降75Bps,而后重拾升势。相应地,令贵金属表现突出的条件——美元贬值甚至危机、不确定性骤增——发生的可能性将会低于预期。
第四,7月份、甚至是9月份,降or不降,是否影响很大、造成严重的利空?与第二点的判断类似,影响分化。因联储鹰派终结扩张周期的可能性微乎其微,因而联储降息节奏改变将更多地源于经济景气、不确定性降低——这意味着对于权益类资产冲击反而相对较小,但对于长久期利率资产、新兴市场货币、以及贵金属将产生相对而言更大的影响。
9
基准路径之外,再议关键点
——通胀
前文已经论述,通胀可能是令基准路径发生偏移的关键变量。为什么联储要如此关心通胀?因为,过低的通胀限制了货币政策的有效性。从货币政策实证的角度,除了实际利率水平的高低之外,利率变化的空间与变化斜率也不会造成不同的效果——而当前偏低名义利率的与较低通胀率的条件下,很难令实际利率具备足够的下行空间以应对冲击。下图36可见,若至2020年末4次降息、按照联储预计的通胀率计算,实际利率即会下降至08年的极端水平,基本难以再有效向下。
因为,不利的通胀会严重恶化债务压力。尤其是当前高债务条件下,不利的通胀下行冲击会对债务人构成严重影响,实际偿债支出提升——抵押品贬值——信用收缩——通缩加剧构成的螺旋式恶化是造成严重经济与金融危机的重要机制。
因为,量化宽松既无法替代价格激励,又无法永远持续下去。毕竟,价格手段是有效调节资源配置的关键,而量宽对整个价格体系(尤其是风险价格体系)存在着不可避免的扭曲;另一方面,量宽的本质依然是强制(扭曲)性的扩张债务——然而众所周知,做生意是要本钱的、借钱是要还的,不论是个人、企业、政府、还是联储。
当前市场对于通胀有着极低的预期,我们认为甚至有些过头。在下图37中,我们展示了当前Tips定价之中隐含通胀预期(Tips Breakeven Inflation),其认为未来五年年均通胀率仅为1.53%,未来第六至第十年略提升至1.83%,全部未来十年之中年均通胀率为1.68%——这不仅在根本上认为联储的通胀目标难长期难以实现,同时还比97年以来这段历史上最低通胀阶段的中枢值(图中的横线)还要更低。
我相信危机曾造成较长时期的影响可以理解,但是再加上未来的十年,时间已经长到可以期待摆脱危机状态的长度了;更不必提历史上长期过低的通胀本非常态,且货币当局始终还在期待并推动着提升通胀中枢至一个更高的合理水平。
为什么我们认为期待通胀中枢在不远的将来即将提升是合适的?在系列的上一篇报告《宽松的障碍:今非昔比的劳动力市场》之中,我们详细论述了当前美国劳动力市场正在摆脱由危机造成的长期不利影响;一个更为健康的劳动力市场正在到来,也即意味着过去十年由大量就业不充分的临时工、闲置的结构性失业者、不得不参与工作的老年人所构成的劳动力市场供给扩张冲击正在走向尽头;这也就意味着他们对于薪资的拖累、社会对薪资增长的低期待、以及对于通胀的预期和敏感程度均将发生改变——支撑着通胀中枢在未来出现提升。
在下图38之中,我们报告了系列上篇报告中使用的论据(原图5),旨在说明当前失业率已经较低,同时表征“冗余”劳动力状况之一的临时工(IPT Worker)占劳动力比重同样已经恢复至低位——用以说明劳动力市场结构正在回归正常(原报告之中同时考察了结构失业、老年人的影响,结论相似)。
另一方面,在下图39之中我们以失业率为考察变量,统计了历次衰退对劳动力市场的冲击情况(直到其恢复至衰退前夕为止,水平=100)。可见,论影响之恶劣,07年的大衰退在样本之中堪称第一;我们当然有理由相信它会造成大的长期影响,需要更长的时间才能予以恢复;但对于当前更应该注意的是,即便07年危机百年一遇,但恢复也已完成,且改善还在进行之中。
10
总结:减速vs宽松这一主线之下,经济、政策、市场未来的发展脉络
我们判断:美国经济进入衰退概率有限、且危害不大。在未来半年,减速与宽松的角力将是主导美国市场的主线。而实际上,经济衰退的可能性极低:占美国经济比重近70%的消费,因家庭部门与劳动力市场处于良好的状态之中,构成了支撑美国经济中期延续扩张的基本盘;同时,我们尚未找到充分的理由,去认为当前正在发生的短周期回落会演变为严重的经济衰退;此外,我们对企业、地产、金融等容易引发麻烦的部门进行了细致地考察,其中地产与银行的状况十分健康,企业债务(尤其是Leveraged Loan)是需要关注的潜在的麻烦。
我们判断:至少近一年,联储将着力确保经济扩张得以延续,其政策基调为“预防式”宽松对冲。这不论对于减缓短期经济下行压力、应对贸易等外生变量冲击,还是对于资本市场而言,都是较为有利的政策选择。然而需要注意,这种有利条件并非来自于符合、甚至超越市场预期的降息次数,而是来自于对于不确定性的消除——承诺对冲、消除衰退、确保经济扩张的政策取向。
我们认为,后续风险资产表现将转为分化:具体而言,对于当前已经隐含较多降息预期的利率类资产,很可能因为联储降息程度、节奏难以满足当前(略过火的)市场,从而经历调整;但是,受益于经济扩张、不确定性改善的权益类资产(甚至包括信用)将继续受益。令一方面,托底对冲大概率将驱动美国经济由短期减速逐步回到中期扩张的路径之上,因而美元难以如当前市场预期般的继续走弱;同时,贵金属也很难如市场预期般的继续走强。
因而我们推断:当前利率短久期好于长久期,信用好于利率、利率之中短久期好于长久期、股票好于债券,如若贸易摩擦有所缓解则科技股相对更占优;此外,较之市场预期,美元下跌空间有限,贵金属上涨空间有限。
变局的关键点:通胀。减速与宽松角力这条主导美国市场的主线,未来将因通胀率的变化而发生改换;我们认为这切实有可能发生,并且基于对美国劳动力市场的研究,其发生时间很可能偏早,远远超越市场当前对远期通胀的悲观预期。
(文章来源:)
(责任编辑:DF010)












网友评论 已有 0 条评论,查看更多评论»